Paneelopnaam: 8 cent als hoofdprijs voor de prosument
Waarom de kWh-vergoeding voor Paneelopnaam niet stijgt en de consumententarieven wel
Tuesday 5 july 2022
De energiemarkt is de afgelopen jaren volop in beweging geweest. Na een periode van ongekende prijsstijgingen zien we nu een stabilisatie. Hoewel de urgentie en het nieuws rondom energie minder prominent lijken, blijft de energietransitie volop doorgaan.
De verduurzaming van onze elektriciteitsvoorziening maakt gelukkig nog steeds flinke stappen. Zo is Nederland intussen al bijna wereldkampioen zonnepanelen installeren, langs de meetlat van vermogen per inwoner althans. Dat betekent dat we een nieuwe fase van de transitie ingaan. Duurzame energie in het publieke stroomnet is niet langer een druppel op een gloeiende plaat.
Toch roept de huidige dynamiek in de energiemarkt vragen op, bijvoorbeeld over hoe de kWh-vergoeding van Vrijopnaam voor Paneelopnaam wordt vastgesteld. We begrijpen deze vragen en leggen in dit blog graag uit hoe onze tarieven tot stand komen en waarom ze niet altijd evenredig meebewegen met de marktprijzen.
De waarde van groene stroom
De groei van duurzame energie heeft logischerwijs steeds meer invloed op de waarde van een kWh zonne- of windstroom, gelet op de wetten van vraag en aanbod. Het gaat hier dan om de inkomsten die eigenaren van wind- en zonneparken halen uit de verkoop van elektriciteit, wat doorgaans gebeurt op landelijke handelsmarkten waar ieder uur andere prijzen gelden.
Twee trends op deze markt springen in het oog:
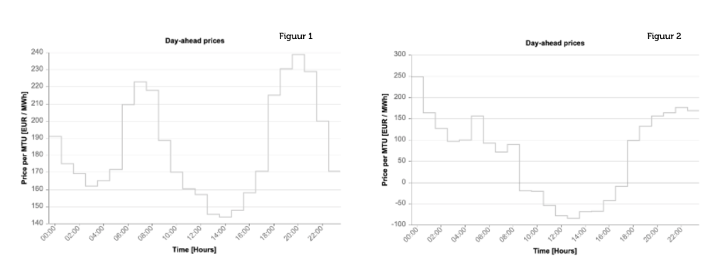
- In de ochtend- en avonduren is stroom tegenwoordig bijna altijd een stuk duurder dan midden op de dag (zie als voorbeeld Figuur 1, situatie 30 mei 2022, bron: ENTSO-E, de Europese koepel van hoogspanningsnetbeheerders);
- Een combinatie van veel duurzaam aanbod en relatief weinig vraag leidt steeds vaker tot negatieve stroomprijzen (zie als voorbeeld Figuur 2, situatie 28 mei 2022 met maar liefst negen negatieve uurprijzen achter elkaar, bron: ENTSO-E). Wie zijn wind- of zonnepark dan kan afschakelen, zal dit zeker niet nalaten, omdat er anders simpelweg geld moet worden betaald voor levering van stroom aan het net.

Oftewel: het weerbericht bepaalt steeds vaker het verloop van de stroomprijs op de uren van een dag. En omgekeerd kun ook je steeds eenvoudiger de omstandigheden buiten afleiden uit de stroomprijsdynamiek op een dag.
We hebben dus steeds meer groene stroom die op momenten dat de zon flink schijnt of de wind stevig waait ook steeds minder waard lijkt te worden. Dat is een werkelijkheid waar eigenaren van wind- en zonneparken rekening mee moeten houden, net als particuliere eigenaren van PV-systemen.
Dat laatste zit zo: het is gebruikelijk de zonnestroom van eigen dak die niet gesaldeerd kan worden aan je energieleverancier terug te verkopen. Thuisproducenten (prosumenten) kregen lange tijd een kWh-vergoeding die gelijk werd geschaard aan het eigen leveringstarief voor netafname.
In de huidige fase van de energietransitie is dat niet langer vol te houden. Immers: het afnametarief is één vaste kWh-prijs voor de consument die geldt voor bijvoorbeeld een kwartaal (90 dagen * 24 uur = 2.160 uur), een halfjaar (minimaal 4.344 uur), een heel jaar (8.760 uur) of nog langer. Eerder in dit verhaal hebben we gezien dat de feitelijke waarde van zonnestroom steeds beperkter wordt, zeker in de middaguren wanneer huishoudens met zonnepanelen (doorgaans tegelijkertijd) aan het net terugleveren. Energieleveranciers die een voorkeur hebben voor particuliere klanten die na saldering nog altijd veel zonnestroom terugleveren, worden steeds zeldzamer.
Paneelopnaam
Bij Vrijopnaam wekken veel huishoudens hun eigen zonnestroom op in een zonnepark, en dus niet vanaf eigen dak. In ruil voor een investering van € 99 (per Paneelopnaam) verrekenen wij dan 9 jaar lang minimaal 250 kWh (per Paneelopnaam) op de energierekening. De vraag werpt zich op wat dan de reële waarde is van deze 250 kWh en de precieze ratio daarachter.
Bij aanschaf heeft Vrijopnaam aangegeven de stroomprijs te verrekenen tegen het kale leveringstarief, met een maximum van 8 cent per kWh incl. btw. Dit leidt tot een rendement voor huishoudens van zo'n 14%. Met Paneelopnaam kan iedereen dus zijn of haar eigen stroom opwekken, met een plus voor het milieu en de eigen portemonnee.
Je leest meer over Paneelopnaam op onze webpagina 'Zelf opwekken'. Wil jij (meer) zelf opwekken met panelen? In de Vrijopnaam-app kun je zien hoeveel panelen je kunt kopen.
Heb je na het lezen van dit blog vragen of opmerkingen? Neem dan gerust contact met ons op via klantteam@vrijopnaam.nl of 085 - 30 32 652.